Quick Links
Skip to main contentSkip to navigation

Niobrara Public Schools

District

Working...

Ajax Loading Image

 

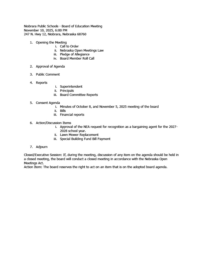
November 2025 Board Agenda