Skip to content
PowerSchool
Monthly Calendar
Hudl
Search site
Niobrara Public Schools
PowerSchool
Monthly Calendar
Hudl
Search site
Menu
Menu
Translate
Menu
Translate
District
Show submenu for District
District
Annual Report
Show submenu for Annual Report
2024-2025 Rule 10 Report
Behavioral Awareness
Show submenu for Behavioral Awareness
Behavioral Awareness Point of Contact
Board of Education
Show submenu for Board of Education
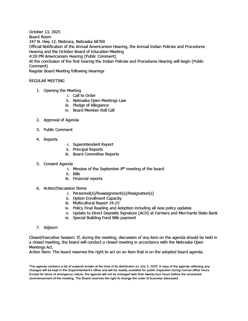
Board Meeting Agendas
Board Meeting Minutes
Board Policies
Superintendent Transparency
Budget Report
Show submenu for Budget Report
2025-26 Budget
Impact Aid
Show submenu for Impact Aid
Impact Aid Policies and Procedures
Applications
Title IX
Show submenu for Title IX
Title IX Coordinator, Policies, and Trainings
Title IX Coordinator- Contact Information
Equal Educational Opportunity-0103.00
Equal Opportunity Employment-0402.01
Title I Plans
Show submenu for Title I Plans
Elementary Title I Plan
Secondary Title I Plan
Faculty
Show submenu for Faculty
Faculty
Staff Directory
Family Resources
Show submenu for Family Resources
Family Resources
NPS Google Calendar link
Elementary Counselor's Corner
JH/HS Counselor's Corner
Nebraska Access-Elementary
Nebraska Access-High School
2025-2026 Student Handbook
Niobrara Public School Library-Book List
Student Resources
Show submenu for Student Resources
Student Resources
Canvas
WorldBook Online
Accelerated Reader
Extracurricular
Show submenu for Extracurricular
Extracurricular
Athletics
Show submenu for Athletics
Basketball
Cross Country
Volleyball
Golf
Wrestling
Track
Football
Organizations
Show submenu for Organizations
National Honor Society
SkillsUSA
Student Council
Activities
Show submenu for Activities
Art
Band
Choir
Drama
Speech
More
Show submenu for
Skip Gallery
End of Gallery